Odmah nakon 1820.godine kada je Ersted otkrio da se oko provodnika kojim teče struja javlja magnetno polje naučnici su si počeli postavljati pitanje da li je moguć obrnuti proces - da li magnetno polje može stvoriti električnu struju? Poslije niza neuspjelih eksperimenata odgovor na to pitanje dao je 1831 godine engleski fizičar Majkl Faradej (Michael Faraday). On je eksperimentom ustanovio da se kretanjem magneta unutar zavojnice u njoj javlja električna struja.
Sami uvidite na sljedećoj simulaciji kako to funcioniše. U zavojnicu naglo gurnite magnet i struja će poteći kroz zavojnicu i upaliti sijalicu. Kada magnet umirimo u zavojnici, struja prestane teći, a pri izvlačenju magneta iz zavojnice, ponovo će poteći. Struja u zavojnici teče samo pri kretanju magneta unutar zavojnice. Što je kretanje brže, struja je jača.
U zavojnici se pri međusobnom kretanju magneta i zavojnice javlja napon koji pokreće električnu struju. Pojava stvaranja napona međusobnim gibanjem magneta i zavojnice naziva se elektromagnetna indukcija, a tako dobiveni napon naziva se indukovani napon. Zbog induciranog napona krugom teče struja koja mijenja jačinu i smjer i naziva se izmjenična struja. Umjesto magneta može se pomicati zavojnica - učinak je isti.
Analizirajući okolnosti pod kojima dolazi do pojave indukovanih struja Faradej dolazi do zaključka:
- uzrok indukcije je promjena magnetnog fluksa ∆Φ kroz provodničku konturu
- intenzitet indukovane struje srazmjeran je brzini promjene magnetnog fluksa
- nije važno kako se promjena fluksa ostvaruje
- promjena magnetnog fluksa kroz neku provodnu konturu izaziva električnu struju u toj konturi
- električnu struju u provodnoj konturi pokreće elektromotorna sila koja nastaje u toj konturi usljed promjene magnetnog fluksa
Zapamti: ELEKTROMAGNETNA INDUKCIJA je pojava nastajanja elektromotorne sile usljed promjene magnetnog fluksa
Indukovana električna struja nastaje ili zbog kretanja provodnika u magnetnom polju ili zbog promjene magnetnog polja (u tom slučaju provodnik može da bude nepokretan). Električna struja u provodniku uslovljena je postojanjem razlike potencijala odnosno elektromotorne sile. Znači, pri kretanju provodnika u magnetnom polju ili pri promjenama magnetnog polja indukuje se elektromotorna sila.
Elektromagnetna indukcija se karakteriše indukovanom elektromotornom silom, a ne jačinom indukovane struje, jer struja zavisi od električne otpornosti provodnika odnosno strujnog kola.
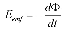
Indukovana elektromotorna sila u nekom kolu je direktno proporcionalna brzini promjene magnetnog fluksa kroz kolo.
Ovaj iskaz je poznat kao Faradejev zakon indukcije.
Nojman je 1845. godine dao matematičku formulaciju Faradejevog zakona, koja glasi:
Prema Lencovom Pravilu indukovana elektromotorna sila ima takav smjer pri kome se konstantna struja svojim magnetnim poljem suprotstavlja uzroku koji je ovu elektromotornu silu izazvao, tj. teži poništenju uzroka svog nastanka.
